Find (a) the number of subsets and (b) the number of proper subsets of the following set. {a,b,c,d,e,f,g,h,i}. a. The number of subsets is (Type a whole number.) b. The number of proper subsets is (Type a whole number.)
Added by Tina A.
Close
Step 1
In this case, the set has 8 elements (a, b, c, d, e, f, g, h). So, the number of subsets is 2^8 = 256. Show more…
Show all steps
Your feedback will help us improve your experience
Moses Obasola and 71 other Algebra educators are ready to help you.
Ask a new question
Labs
Want to see this concept in action?
Explore this concept interactively to see how it behaves as you change inputs.
Key Concepts
Recommended Videos
Andrew N.
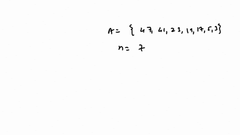
Let the set A be defined as follows. A=(47,41,23,19,17,5,3) (a) Find the total number of proper subsets of A . (b) Find the total number of subsets of A.
Khushbu R.
Listing Subsets List all of the subsets of each of the sets $\{A\},\{A, B\},\{A, B, C\},$ and $\{A, B, C, D\} .$ Find a formula for the number of subsets of a set of $n$ elements.
Sequences, Series, and Probability
Counting and Permutations
Recommended Textbooks
Elementary and Intermediate Algebra
Algebra and Trigonometry
Transcript
600,000+
Students learning Algebra with Numerade
Trusted by students at 8,000+ universities
Watch the video solution with this free unlock.
EMAIL
PASSWORD