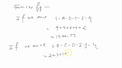
Given the following graph, show the steps of A^(**) algorithm (S: starting, G: goal, g: number on edge, heuristic value on nodes)
Given the following graph, show the steps of A* algorithm (S: starting, G: goal, g number on edge, heuristic value on nodes)
10
A
6
E
17 S
13 6 B
1 3 F
0
5
D
6
10
6