Only using Matlab please
Fibonacci Series
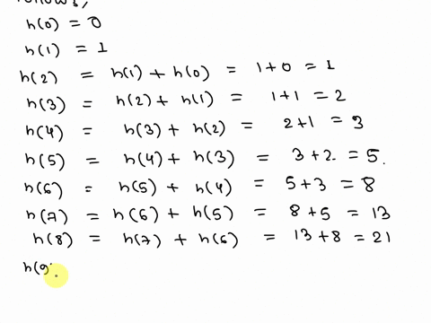
Write a recursive function called fibor that computes the first n elements of the Fibonacci series, where n is the sole input argument. You are not allowed to use loops. Here is the formal definition of the series:
if n < 2, then F(n) = n
otherwise, F(n) = F(n-1) + F(n-2)
Here are the first few elements: 1, 2, 3, 5, 8, 13.
If the grader times out, your function might be making too many recursive calls. For example, if fibor(5) makes the calls fibor(4) and fibor(3), and fibor(4) also calls fibor(3), then you called fibor(3) twice unnecessarily. With larger inputs, this may blow up. In that case, you need to rethink your approach.