00:01
Hello, and this question here with a particle tracked in the ground state of a one -dimensional infinite potential well, and we want to find out the probability of it being located within two values of x.
00:15
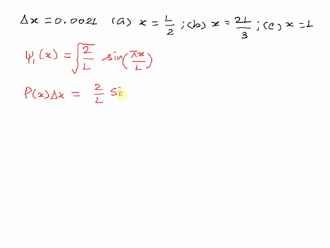
So in general, the probability of finding a particle is equal between x1 and x2, is equal to the integral of the absolute value of the wave function to be squared, from x1 to x2 with respect to x.
00:33
So the wave function describing a particle in the ground state of a one -dimensional infinite potential well is equal to the square root of 2 divided by the length of the box, which is capital l, times the sign of pi over l times x.
00:57
So by computing this integral here with the wave function defined as here, we can determine the probability of finding the particle to be located within x1 and x2, which is what the question is asking us to do.
01:16
So let us compute this integral.
01:18
So we want to compute the integral from x1 to x2 of 2 divided by l, multiplied by the sign of pi divided by l, times x and this is to be squared and integrating this with respect to dx.
01:41
So how would we compute this integral? well, we could use the fact that sine squared of x is equal to one half times one minus the cause of 2x.
01:55
So we can sub this into this integral here to get that the integral is equal to the integral from x1 to x2 times we'll bring our constant of l out in front we have a factor of two from the normalization constant and a factor of a half from the from our equation of sine squared here so we can just cancel these factors of two and this is we're integrating one minus the cause of twice what is in our here in a trigonometric function.
02:38
So it's the integral of 1 minus 2 pi over l times x with respect to x.
02:46
Now computing this integral, well this gives us integrating the first term, we can split this up into because integration is linear, this is equal to the integral of x1 to x2 of dx minus 1 over l times the integral from x1 to x2 of cos of 2 pi x over l d x and just performing this integration we get that this is equal to x2 over x1 divided by l minus 1 over 2 pi times the sign of 2 pi over l times x2 minus 2 pi the sign of 2 pi divided by l at x1 so this here is our probability of finding the particle in the region of x1 and x2 so in the first part of the question we're asked to find out what is the probability of finding the particle located within x is an element of zero and l over three okay? well, all we need to do here is set the last value, x2 is equal to l over 3, and x1 is equal to 0.
04:16
And then we can sub into this formula here to determine the probability of finding the particle between l3 and 0.
04:25
So l over 3 and 0.
04:27
Well, this is equal to l over 3 minus 0, all divided by l, minus 1 divided by 2 pi times the sign of 2 pi over l multiplied by l over 3 minus the sign of 0 and this is equal to 1 3 minus square root of 3 divided by 4 pi in the second part of the question we're asked to find the probability of the particle being located within x is an element of l over 3 and 2l over 3 okay so now all we do is we set x2 is equal to 2l over 3 and x1 1 is equal to l over 3 and we can just sub back into this formula here to determine the probability of the particle being located between 2 over 3 l and l over 3 so this is equal to the probability is equal to just probability is equal to l over 3, sorry, no, it's equal to 1 third minus 2 pi times, alt times the sign of 4 pi over 3, just by subbing into the formula, minus the sign of 2 pi over 3...