Question
A student claimed, "A positive and a negative is negative." What is wrong with this statement?
Step 1
" This statement is not always true because it depends on the operation we are performing. Show more…
Show all steps
Your feedback will help us improve your experience
Amy Jiang and 86 other educators are ready to help you.
Ask a new question
Labs
Want to see this concept in action?
Explore this concept interactively to see how it behaves as you change inputs.
Key Concepts
Recommended Videos
What is wrong with the following statement? A negative and a positive is a negative.
An Introduction to Algebra
Multiplying and Dividing Real Numbers; Multiplication and Division Properties
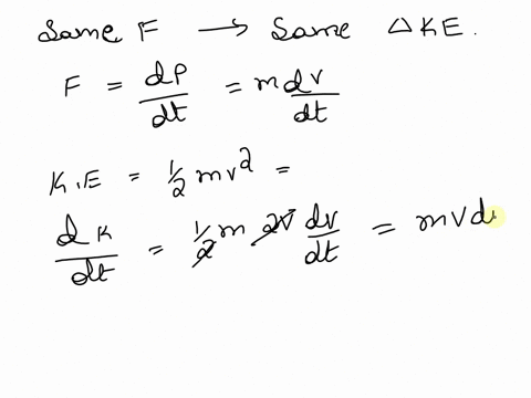
(a) A student makes the following claim, what, if anything, is wrong with this statement? If something, is wrong, explain what it is and how to correct it. If nothing is wrong, explain what is involved and how it works. Hypothesis: If two objects have the same force act on them for the same time, then they will have the same change in kinetic energy.
A student incorrectly claimed that the point (6,0) lies on the $y$ -axis because the $y$ -coordinate is $0 .$ WHAT WENT WRONG? Explain.
Linear Equations in Two Variables
Linear Equations and Rectangular Coordinates
Transcript
18,000,000+
Students on Numerade
Trusted by students at 8,000+ universities
Watch the video solution with this free unlock.
EMAIL
PASSWORD