Question
Find the center-radius form of the circle with the given equation. Determine the coordinates of the center, find the radius, and graph the circle.$$x^{2}+y^{2}-10 x+6 y+21=0$$
Step 1
The standard form of a circle equation is $(x-h)^{2}+(y-k)^{2}=r^{2}$, where $(h,k)$ is the center of the circle and $r$ is the radius. The given equation is $x^{2}+y^{2}-10x+6y+21=0$. Show more…
Show all steps
Your feedback will help us improve your experience
Vishal Parmar and 62 other Algebra educators are ready to help you.
Ask a new question
Labs
Want to see this concept in action?
Explore this concept interactively to see how it behaves as you change inputs.
Key Concepts
Recommended Videos
Find the center and radius of each circle. $$x^{2}+y^{2}-10 x+6 y+22=0$$
Review: Equations and Inequalities
Graphing Equations
Find the center-radius form of the circle with the given equation. Determine the coordinates of the center, find the radius, and graph the circle. $$x^{2}+y^{2}+6 x-6 y+2=0$$
Quadratic Functions
Quadratic Functions and Graphs
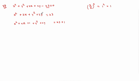
Find the center-radius form of the circle with the given equation. Determine the coordinates of the center, find the radius, and graph the circle. $$x^{2}+y^{2}+2 x+2 y-23=0$$
Transcript
600,000+
Students learning Algebra with Numerade
Trusted by students at 8,000+ universities
Watch the video solution with this free unlock.
EMAIL
PASSWORD