00:01
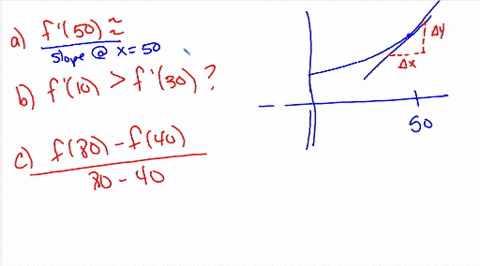
So using this graph, we need to answer some questions.
00:04
The first of which is to estimate the derivative of the function at x equals 50.
00:13
So this basically is asking us for the slope at x equals 50 because the derivative represents the tangent at that point.
00:24
So where is that? we have 50 here.
00:28
I know i didn't draw this very well.
00:30
But referring to the graph of the book, i'm going to do a simple, a rise over run.
00:39
So i'm going to do the change in y over the change in x.
00:43
And i'm going to pick, since this is a curve here, i'm going to try and make the bounds as tight as possible.
00:49
So let's say like 45 and 55 for the x.
00:56
And we are at, on the y, that's 300 ,500...