Question
Give the standard line notation for each cell in Exercises 25 and $29 .$
Step 1
Exercise 25: The cell is a square with side length 6 units. Standard line notation for this cell is: (6, 6, 6; 90, 90, 90) Show more…
Show all steps
Your feedback will help us improve your experience
Susan Hallstrom and 92 other Chemistry 102 educators are ready to help you.
Ask a new question
Labs
Want to see this concept in action?
Explore this concept interactively to see how it behaves as you change inputs.
Key Concepts
Recommended Videos
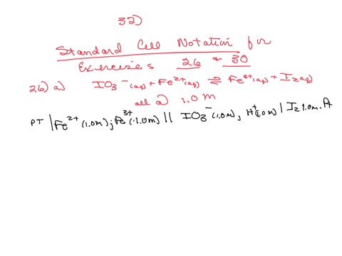
Give the standard line notation for each cell in Exercises 26 and 30 .
Give the standard line notation for each cell in Exercises 37 and 41.
Give the standard line notation for each cell in Exercises 37 and 41
Transcript
600,000+
Students learning Chemistry with Numerade
Trusted by students at 8,000+ universities
Watch the video solution with this free unlock.
EMAIL
PASSWORD