Question
Graph each parabola by hand, and check using a graphing calculator. Give the vertex, axis, domain,and range.$$x=(y+1)^{2}$$
Step 1
The vertex form of a parabola is $x=a(y-h)^2+k$, where $(k,h)$ is the vertex. In the given equation, $x=(y+1)^2$, we can see that $k=0$ and $h=-1$. So, the vertex of the parabola is $(0,-1)$. Show more…
Show all steps
Your feedback will help us improve your experience
Ankit Gupta and 59 other Algebra 2 educators are ready to help you.
Ask a new question
Labs
Want to see this concept in action?
Explore this concept interactively to see how it behaves as you change inputs.
Key Concepts
Recommended Videos
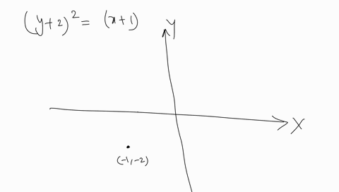
Graph each parabola by hand, and check using a graphing calculator. Give the vertex, axis, domain, and range. $$(y+2)^{2}=x+1$$
Analytic Geometry and Nonlinear Systems
Circles and Parabolas
Graph each parabola by hand, and check using a graphing calculator. Give the vertex, axis, domain, and range. $$x=y^{2}+2$$
Graph each parabola by hand, and check using a graphing calculator. Give the vertex, axis, domain, and range. $$x=-2(y+3)^{2}$$
Transcript
600,000+
Students learning Algebra with Numerade
Trusted by students at 8,000+ universities
Watch the video solution with this free unlock.
EMAIL
PASSWORD