00:01
On the topic of rl circuits, we are given a circuit with a switch and two resistors and an inductor.
00:09
We are asked to find the currents through each resistor as well as the battery as a function of time.
00:18
So firstly, the current through resistor r1, we'll call it i, r1, is simply the maximum current through the circuit, since it is not its current is not interrupted by the induced emf of the inductor.
00:42
So that current is epsilon over r, which is the emf of 12 volts, divided by the resistance of 6 oms, which gives us the current of 2 ampiers.
00:54
So 2 ampiers flows through resistor r1.
00:59
Now the current that flows through resistor r2, is impacted by the induced emf of the inductor that is connected in series with it.
01:14
So ir2 is equal to epsilon over r into 1 minus e to the minus t over t over tor, where tour is the time constant of the circuit.
01:29
And this is equal to epsilon over r, which is 2 into 1 minus e to the minus the minus 6t over 24.
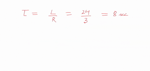
01:44
So to remember is l over r and we know the inductance l and the resistance are.
01:55
So if we simplify this, the current flowing through r2 as a function of time is 2 into 1 minus e to the minus t over 4...