Evaluate the series ? n=1 to ? un in which un is not known explicitly but is given in terms of a recurrence relation. You should stop the summation when |un| < 10^-2 un+1 = (un-1)^2 + (un)^1.5 with u1 = 0.1, u2 = 0.2 USE MATLAB AND SHOW THE CODE
Added by Jared P.
Close
Step 1
1; U(2) = 0.2; Show more…
Show all steps
Your feedback will help us improve your experience
Adi S and 75 other Calculus 3 educators are ready to help you.
Ask a new question
Labs
Want to see this concept in action?
Explore this concept interactively to see how it behaves as you change inputs.
Key Concepts
Recommended Videos
( Sum series ) Write a recursive function to compute the following series: \[ m(i)=\frac{1}{3}+\frac{2}{5}+\frac{3}{7}+\frac{4}{9}+\frac{5}{11}+\frac{6}{13}+\ldots+\frac{i}{2 i+1} \] Write a test program that displays $m(i)$ for $i=1,2, \dots, 10$
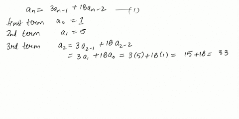
Consider the recurrence relation an = 3an-1 + 18an-2 with first two terms a0 = 1 and a1 = 5. Write out the first 5 terms of the sequence defined by this recurrence relation. a. Write out the first 5 terms of the sequence defined by this recurrence relation. a0 = a1 = a2 = a3 = a4 = b. Solve the recurrence relation. That is, find a closed formula for an.
Adi S.
Find the sum of the convergent series by using a well-known function. Identify the function and explain how you obtained the sum. $$ \sum_{n=1}^{\infty}(-1)^{n+1} \frac{2^{n}}{5^{n} n} $$
Infinite Series
Representation of Functions by Power Series
Recommended Textbooks
Calculus: Early Transcendentals
Thomas Calculus
Transcript
600,000+
Students learning Calculus with Numerade
Trusted by students at 8,000+ universities
Watch the video solution with this free unlock.
EMAIL
PASSWORD