Use the first derivative test to find the location of all local extrema in the interval (0, 4) for the function given below. f(x) = -x^7 ln (3x) If there is more than one local maximum or local minimum, write each value of x separated by a comma. If a local maximum or local minimum does not occur on the interval, enter ? in the appropriate box. Enter exact answers.
Added by Derrick J.
Close
Step 1
We can do this by using the first derivative test. To do this, we need to know the function's derivative at x = 0. We can find this derivative by using the formula: f'(0) = - In (3x) Now, we can use this information to find the local extrema. To do this, we need Show more…
Show all steps
Your feedback will help us improve your experience
Andrew Noble and 64 other Calculus 1 / AB educators are ready to help you.
Ask a new question
Labs
Want to see this concept in action?
Explore this concept interactively to see how it behaves as you change inputs.
Key Concepts
Recommended Videos
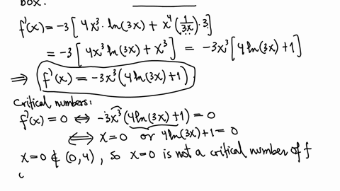
Use the first derivative test to find the location of all local extrema in the interval (0, 4) for the function given below. f(x) = -3x^4 ln(3x) If there is more than one local maximum or local minimum, write each value of x separated by a comma. If a local maximum or local minimum does not occur on the interval, enter ∅ in the appropriate box. Enter exact answers. Provide your answer below: The local maxima occur at x = The local minima occur at x =
Oswaldo J.
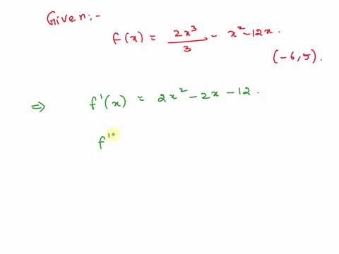
Use the Second Derivative Test to find the location of all local extrema in the interval (-6,5) for the function given below. f(x) = (2x^3)/3 - x^2 - 12x If there is more than one local maximum or local minimum, write each value of x separated by a comma. If a local maximum or local minimum does not occur on the function, enter Ø in the appropriate box. Answer should be exact. Provide your answer below:
Madhur L.
Find (by hand) all critical numbers and use the First Derivative Test to classify each as the location of a local maximum, local minimum or neither. $$y=\frac{x}{1+x^{3}}$$
Applications of Differentiation
Increasing and Decreasing Functions
Recommended Textbooks
Calculus: Early Transcendentals
Thomas Calculus
Transcript
Watch the video solution with this free unlock.
EMAIL
PASSWORD